W tej części zajmiemy się algorytmami dotyczącymi tablic.
ALGORYTMY OBSŁUGI TABLIC
Tablicą nazywamy złożoną strukturę danych, która zawiera zbiór elementów tego samego typu.Wyróżniamy:
- tablice jednowymiarowe
- tablice wielowymiarowe
W tym wpisie zajmiemy się algorytmami tablic jednowymiarowych.
TABLICE JEDNOWYMIAROWE
Tablica jest to zbiór elementów tego samego typu. Każdy element tablicy jest identyfikowany przez jego numer (indeks). Każdy element tablicy posiada swoją wartość.
Oto tablica o nazwie „t” zawierająca 5 elementów, liczby 5, 11, 8, 3, 2:
Do poszczególnych elementów tablicy uzyskujemy dostęp poprzez podanie nazwy tablicy oraz w nawiasach kwadratowych wartość indeksu (numer żądanego elementu). W naszej tablicy o nazwie t:
Przykład. Schemat blokowy tablica
Opracuj algorytm wypełniający tablicę k – elementową.
Ponieważ tablica ma k- elementów, a więc k- razy nastąpi wczytywanie elementu, stąd zastosowanie iteracji (pętli).
Schemat blokowy algorytmu wypełniania tablicy elementami podanymi przez użytkownika:
Uwaga. Zauważ, że w naszych przykładach bazujemy na tablicach rozpoczynających się od indeksu 1. Wszystkie schematy blokowe tutaj bazują na takim założeniu. Być może ty tworzysz algorytm, schemat blokowy tablicy rozpoczynającej się od indeksu 0. W takim wypadku musisz odpowiednio zmodyfikować podane w przykładach schematy blokowe. Na przykład w tym algorytmie zmienna i nie powinna na początku przyjmować wartości 1 (i:=1) a wartość 0, czyli powinieneś wpisać i:=0. Powinieneś również zmodyfikować warunek w następnym bloku (i>k).
Opracuj algorytm wypisujący elementy tablicy k- elementowej.
Zbuduj algorytm sumujący elementy tablicy n- elementowej.
Przykład
Zbuduj algorytm liczący średnią arytmetyczną elementów tablicy.
Przykład
Z tablicy zawierającej k-elementów wybierz elementy podzielne przez 3. Oblicz ich ilość, sumę i średnią.
Przykład
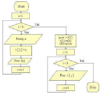
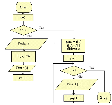
Wczytaj elementy do tablicy k- elementowej. Wydrukuj tę tablicę. Zamień pierwszy z ostatnim i wydrukuj tablicę po modyfikacji.
Ćwiczenie 1
Opracowany w ćwiczeniu 3 algorytm zmodyfikuj tak, by wynikiem była suma elementów większych od 10.
Ćwiczenie 2
Opracuj algorytm liczący średnią arytmetyczną elementów dodatnich tablicy.
Ćwiczenie 3
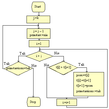
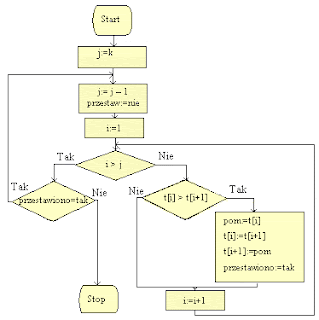
Zbuduj algorytm wyszukiwania elementu maksymalnego w tablicy.
Ćwiczenie 4
Opracuj algorytm
- wczytujący elementy tablicy k-elementowej
- wyszukujący element minimalny
- wypisujący elementy tablicy i element minimalny
Podsumowanie
Ten artykuł jest częścią cyklu „Algorytmy dla uczniów”.









